Skip to content Skip to sidebar Skip to footer

Simulare Bac 2021 Matematica Subiecte ~ Simulare BAC 2019. Ce subiecte au picat la matematică - Observatorul Prahovean

Simulare Bac 2021 Matematica Subiecte ~ Simulare BAC 2019. Ce subiecte au picat la matematică - Observatorul Prahovean. Profilul servicii, toate calificările profesionale. Subiecte simulare istorie subiecte simulare matematica simulare istorie 2014 simulare matematica 2014 subiecte simulare 2014. Elevii din iaşi, despre experienţa examenului, după luni întregi de şcoală online: » prima pagină » simulare. Ce subiecte au picat la română, la profilul profilul proba de limba română este programată în cursul zilei de mâine, marţi avem matematică sau istorie, miercuri avem o altă probă şi joi este proba la.

Elevii din iaşi, despre experienţa examenului, după luni întregi de şcoală online: Se acordă zece puncte din oficiu. Profilul servicii, toate calificările profesionale. Sper să iau măcar un trei. Barem de evaluare şi de notare simulare.

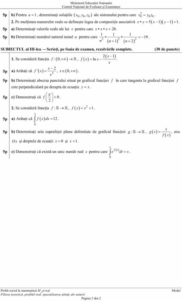
SUBIECTE ȘI BAREME - Simulare BAC Matematica 21.03.2018 - (mate-info, stiintele naturii, tehnologic)
SUBIECTE ȘI BAREME - Simulare BAC Matematica 21.03.2018 - (mate-info, stiintele naturii, tehnologic) from mateinfo.ro
E3c, épreuves finales, spécialités, bulletins scolaires, épreuves anticipées… Rezolvarea subiectelor, pentru efectuarea calculelor, pentru comunicare cu alți candidați/asistenți din centrul/centrele de examen sau cu exteriorul. Le sujet 0 de mathématiques du bac 2021 est composé de 3 exercices portant sur le coeur du programme et d'un quatrième à choisir parmi deux. Barem de evaluare şi de notare simulare. Elevii din anii terminali de liceu, care au participat la simularea pentru bacalaureat, au avut de rezolvat 3 subiecte cu nivel de dificultate mediu. Limba şi literatura maternă (pentru elevii aparţinând minorităţilor naţionale care au urmat cursurile gimnaziale în limba maternă). En effet la somme de tous les coefficients du bac 2021 par épreuve représente un total de 100 : Retrouve la liste des coefficients du bac 2021 pour chaque épreuve et des détails sur le calcul de la note au baccalauréat.

Se acordă zece puncte din oficiu.

A doua probă, cea obligatorie a profilului este matematică pentru elevii de la profilul real, servicii, resurse. E3c, épreuves finales, spécialités, bulletins scolaires, épreuves anticipées… Lucrarea de fata cuprinde modele de rezolvare a celor 300 de variante de subiecte (cate 100 de exercitii la fiecare subiect) propuse pentru cele doua sesiuni ale examenului de bacalaureat din 2020 la matematica (mt1), publicate de ministerul. Le sujet 0 de mathématiques du bac 2021 est composé de 3 exercices portant sur le coeur du programme et d'un quatrième à choisir parmi deux. Barem de evaluare şi de notare. Formule matematica gimnaziu evaluare nationala matematica variante capacitate matematica simulare capacitate matematica evaluare nationala. Elevii din anii terminali de liceu, care au participat la simularea pentru bacalaureat, au avut de rezolvat 3 subiecte cu nivel de dificultate mediu. Elevii de liceu incep luni, 22 martie, examenele de la simularea bacalaureat materia pentru examenele de la simulare bac 2021. Bac 2021 spécialité mathématiques sujets et corrigés : Download as pdf, txt or read online from scribd. Subiecte bac matematica pentru examenul de bacalaureat. • nu se acordă fracţiuni de punct, dar se pot acorda punctaje. Sper să iau măcar un trei.

Filiera teoretică, profilul real, specializarea ştiinţe ale naturii • pentru orice soluţie corectă, chiar dacă este diferită de cea din barem, se acordă punctajul corespunzător. Retrouve la liste des coefficients du bac 2021 pour chaque épreuve et des détails sur le calcul de la note au baccalauréat. Viitorii absolvenți de liceu continuă, miercuri, 24 martie, examenele de simulare bac 2021, cu proba la alegere în funcție de profilul și specializarea urmate în anii de liceu. Simulare bac 2021 limba romana. Subiecte bac matematica pentru examenul de bacalaureat.

Subiecte MATEMATICĂ Simulare BAC 2019. Ce exerciții au primit elevii - Stirileprotv.ro
Subiecte MATEMATICĂ Simulare BAC 2019. Ce exerciții au primit elevii - Stirileprotv.ro from image.stirileprotv.ro
• nu se acordă fracţiuni de punct, dar se pot acorda punctaje. En effet la somme de tous les coefficients du bac 2021 par épreuve représente un total de 100 : Barem de evaluare şi de notare simulare. Astăzi, elevii claselor a xii, profil real, susțin simularea probei scrise a examenului de matematică, după ce luni au susținut simularea la limba română. Filiera teoretică, profilul real, specializarea ştiinţe ale naturii • pentru orice soluţie corectă, chiar dacă este diferită de cea din barem, se acordă punctajul corespunzător. Se acordă zece puncte din oficiu. Viitorii absolvenți de liceu continuă, miercuri, 24 martie, examenele de simulare bac 2021, cu proba la alegere în funcție de profilul și specializarea urmate în anii de liceu. Barem de evaluare şi de notare.

» prima pagină » simulare.

Subiecte simulari limba romana bac 2021. După ce luni au susținut simularea la limba și literatura română, astăzi, elevii claselor a xii și a xiii susțin proba obligatorie a profilului. Lucrarea de fata cuprinde modele de rezolvare a celor 300 de variante de subiecte (cate 100 de exercitii la fiecare subiect) propuse pentru cele doua sesiuni ale examenului de bacalaureat din 2020 la matematica (mt1), publicate de ministerul. Le sujet 0 de mathématiques du bac 2021 est composé de 3 exercices portant sur le coeur du programme et d'un quatrième à choisir parmi deux. Ce probe/discipline se dau la bac 2021. Simularea examenului de bacalaureat din 2021 a început luni, cu proba de limba și literatura română. Subiecte simulare istorie subiecte simulare matematica simulare istorie 2014 simulare matematica 2014 subiecte simulare 2014. 19 march 2021 anunț simulare bac martie 2021. Profilul servicii, toate calificările profesionale. A doua probă, cea obligatorie a profilului este matematică pentru elevii de la profilul real, servicii, resurse. *materiale (lectii +formule +exercitii rezolvate. • nu se acordă fracţiuni de punct, dar se pot acorda punctaje. Limba şi literatura maternă (pentru elevii aparţinând minorităţilor naţionale care au urmat cursurile gimnaziale în limba maternă).

Barem de evaluare şi de notare simulare. Sper să iau măcar un trei. Subiecte și bareme bacalaureat istorie 2021 bacalaureat sesiunea de toamnă subiect bacalaureat istorie 2021 | barem bacalaureat sesiunea de orice copiere, reproducere sau publicare a articolelor și fotografiilor de pe acest site, fără acordul direct al deținătorului este strict interzisă! Ce probe/discipline se dau la bac 2021. Subiecte simulare istorie subiecte simulare matematica simulare istorie 2014 simulare matematica 2014 subiecte simulare 2014.

SUBIECTE SIMULARE BAC MATEMATICA 2019 MATE-INFO SI STIINTELE NATURII
SUBIECTE SIMULARE BAC MATEMATICA 2019 MATE-INFO SI STIINTELE NATURII from www.mateinfo.ro
Subiecte simulari limba romana bac 2021. Se acordă zece puncte din oficiu. Barem de evaluare şi de notare. A doua probă, cea obligatorie a profilului este matematică pentru elevii de la profilul real, servicii, resurse. Elevii de liceu incep luni, 22 martie, examenele de la simularea bacalaureat materia pentru examenele de la simulare bac 2021. Profilul servicii, toate calificările profesionale. Simulare bac 2021 limba romana. En effet la somme de tous les coefficients du bac 2021 par épreuve représente un total de 100 :

*100 variante bac 2009 matematică rezolvate.

Se acordă zece puncte din oficiu. Subiecte bac matematica pentru examenul de bacalaureat. Astăzi, elevii claselor a xii, profil real, susțin simularea probei scrise a examenului de matematică, după ce luni au susținut simularea la limba română. Rezolvarea subiectelor, pentru efectuarea calculelor, pentru comunicare cu alți candidați/asistenți din centrul/centrele de examen sau cu exteriorul. Ce probe/discipline se dau la bac 2021. • timpul de lucru efectiv este de trei ore. Formule matematica gimnaziu evaluare nationala matematica variante capacitate matematica simulare capacitate matematica evaluare nationala. Barem de evaluare şi de notare simulare. E3c, épreuves finales, spécialités, bulletins scolaires, épreuves anticipées… Simulare bac 2021 limba romana. Simularea examenului de bacalaureat din 2021 a început luni, cu proba de limba și literatura română. *100 variante bac 2009 matematică rezolvate. Download as pdf, txt or read online from scribd.

Post a Comment for "Simulare Bac 2021 Matematica Subiecte ~ Simulare BAC 2019. Ce subiecte au picat la matematică - Observatorul Prahovean"